گوگل برای رتبهبندی صفحات و نمایش نتایج جستجوها، فاکتورهای زیادی را در نظر میگیرد. یکی از موارد مهم در مشخص کردن صفحات مهم، پیج رنک است. در این مطلب بیشتر درباره این معیار و نحوه افزایش آن صحبت خواهیم کرد.

مفهوم الگوریتم پیج رنک گوگل (PageRank) چیست؟
پیج رنک که در واقع از نام لری پیج و سرگئی برین یعنی بنیان گذاران آن گرفته شده است. پیج رنک معیاری برای تشخیص میزان اهمیت و اعتبار صفحات وبسایت است که به صورت عددی بین 0 تا 10 نمایش داده میشود. البته سالهاست این امتیاز دیگر در صفحات وب نمایش داده نمیشود، ولی اخیرا یکی از مدیران گوگل اعلام کرده است که هر وقت بخواهند به این امتیاز دسترسی دارند. در واقع این الگوریتم اهمیت ویژهای برای لینک های خارجی قائل است و معتقد است اگر صفحهای در وبسایتی اهمیت زیادی داشته باشد به احتمال زیاد تعداد لینکهای زیاد و با کیفیتی از بیرون دریافت میکند.
تاریخچه الگوریتم پیج رنک گوگل
اولین پتنت PageRank در 1 سپتامبر 1998 ثبت شد و به الگوریتم اصلی گوگل برای محاسبه اهمیت صفحات وب و رتبهبندی آنها تبدیل شد. به طور خلاصه، گوگل بر اساس این ایده سرگئی برین شکل گرفت که اطلاعات موجود در وب را میتوان بر اساس محبوبیت لینک یک صفحه رتبهبندی کرد. طبق گفته برین، هر چه لینکهای بیشتری به یک صفحه اشاره کنند، رتبه آن بالاتر میرود.
اگر به مقالهای که سرگئی برین و لارنس پیج در سال 1998 منتشر کردند و به معرفی موتور جستجوی گوگل پرداختند دقت کنیم، به وضوح میتوانیم الگوریتم پیج رنک (Page Rank) را در توضیح ویژگیهای موتور جستجو مشاهده کنیم:
«موتور جستجوی گوگل دو ویژگی مهم دارد که به آن کمک میکند تا نتایج را با دقت بسیار بالا رتبهبندی کند. اول، از ساختار لینک وب برای محاسبه رتبهبندی بر اساس کیفیت هر صفحه وب استفاده میکند. این رتبهبندی، PageRank نامیده میشود و دوم، گوگل از لینکها برای بهبود نتایج جستجو استفاده میکند.»
(آناتومی یک موتور جستجوی وب فرا متنی در مقیاس بزرگ - سرگی برین و لارنس پیج)
الگوریتم PAGE RANK ویژگیای است که گوگل را منحصر به فرد کرده است. مقاله در ادامه توضیح میدهد که «لینک وب منبع مهمی است که تا حد زیادی در دیگر موتورهای جستجوی فعلی استفاده نشده است.»
معرفی نوار ابزار گوگل
در سال 2000، گوگل نوار ابزار خود را معرفی کرد. این تولبار به عنوان ابزاری برای مشاهده امتیاز پنج رنک سایتها مورد استفاده قرار میگرفت. در نتیجه، سئوکاران تمرکز خود را فقط روی افزایش پیج رنک به عنوان معیار بهبود رتبهبندی قرار دادند. دلیل آن هم این بود که الگوریتم گوگل، به صفحاتی که لینک بیشتری داشتند، رتبه بهتری میداد. هدف از این کار در اوایل دهه 2000 این بود که تا حد امکان لینکهای بیشتری از صفحات با پیج رنک بالاتر به دست آورند. این موضوع باعث دستکاری پیج رنک، تغییر لینکها و آنچه که بسیاری از متخصصان سئو به عنوان مزرعه لینک به خاطر داریم، شد.

گوگل در سال 2014 اعلام کرد که این تولبار دیگر بهروزرسانی نخواهد شد (در آخرین بهروزرسانی تایید شده دسامبر 2013) و در نهایت در سال 2016 به کار آن پایان داد. البته، این بدان معنا نیست که گوگل استفاده از PageRank را به عنوان بخشی از الگوریتم متوقف کرده است، فقط به این معنی است که دیگر یک معیار عمومی نیست.
یک پتنت رتبهبندی بهروز شده
پتنت اصلی PageRank که سال 1998 منتشر شد، در سال 2018 منقضی شد و دیگر تمدید نشد. در همین زمان، یکی از کارمندان سابق گوگل تایید کرد که الگوریتم اصلی از سال 2006 استفاده نشده است؛ اما این بدان معنا نیست که PageRank از بین رفته است بلکه پتنت اصلی با ورژن جدید جایگزین شد. این پتنت جدید به «سایتهای پایه در مجموعههای مورد اعتماد» اشاره میکند و آنها را به عنوان «.صفحههای با کیفیت بالا که اتصال وب خوبی را به سایر صفحات غیر پایه ارائه میدهند» تعریف میکند. همچنین سایتهای Google Directory (که در زمان ثبت پتنت هنوز در دسترس بود) و نیویورک تایمز را به عنوان مثال مطرح میکند.
سایتهای Seed یا پایه باید قابل اعتماد باشند، به اندازه کافی متنوع باشند تا طیف گستردهای از زمینههای عمومی را پوشش دهند و به خوبی با سایتهای دیگر مرتبط باشند. همچنین باید تعداد زیادی لینک خروجی معتبر داشته باشند. این لینک ها به منظور تسهیل شناسایی سایر صفحات با کیفیت به کار میروند. این پتنت جدید و بهروز شده الگوریتم پیج رنگ قبلی را بهبود بخشیده و به این صورت عمل میکند که فاصله صفحه تا مجموعه سایتهای پایه را برای رتبهبندی در نظر میگیرد.
چگونه پیج رنک محاسبه می شود؟
الگوریتم پیج رنک بین تمام لینکهای ورودی به یکی از صفحات سایت اشتراک گرفته و در نهایت امتیاز موردنظر را بین 0 تا 10 محاسبه میکند. اما نکته جالب اینجاست که اگر شما داخل سایت خود لینکسازی داخلی انجام داده باشید، اعتبار آنها نیز به صفحه مقصد منتقل میشود.

در محاسبه پیج رنک امتیازات و اعتبارات صفحه مبدا نیز در نظر گرفته شده و به صفحه مقصد منتقل میشود. طبیعتا یک صفحه هرچه لینکهای ورودی بیشتر و با کیفیت تری گرفته باشد، میتواند پیج رنک بالاتری بگیرد.
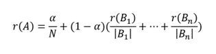
فرمول الگوریتم پیج رنک (PR) چیست
زمانی که پتنت پج رنک برای اولین بار ثبت شد و الگوریتم اولیه گوگل توسعه یافت، بر این نظریه استوار بود که لینکهای خروجی از یک وبسایت به وبسایت دیگر را میتوان به عنوان رای اعتماد در نظر گرفت. بنابراین، صفحهای که بک لینک بیشتری به آن داده شده باشد، قابل اعتمادتر است و باید رتبه بهتری کسب کند.
اما همانطور که در مقاله اصلی تعریف شده است، یک لینک صرفاً یک رأی مستقیم نیست و اعتبار صفحه نیز در نظر گرفته میشود. لینک از یک صفحه با پیج رنک 6 معتبرتر از یک صفحه با پیج رنک 2 است. فرمول محاسبه پیج رنک به صورت زیر است:

در این فرمول B1,…Bn صفحات بک لینک صفحه A هستند، r(B1),…,r(Bn) رتبه آنها، |Bn|,...,|1B| تعداد لینکهای خروجی آنها، α عددی ثابت و بین صفر و یک و N تعداد کل صفحات وب هستند. این فرمول به وضوح نسبت به الگوریتم اولیه پیج رنک، پیچیدهتر است. در الگوریتم اولیه با افزایش تعداد بک لینکها، پیج رنک نیز افزایش پیدا میکرد اما طبق این فرمول، بک لینک از یک منبع با رتبه بالاتر ارزش بیشتری نسبت به منبعی با رتبه پایینتر دارد (با فرض مساوی بودن تعداد لینکها از منابع). همچنین ممکن است صفحهای که فقط یک بک لینک از منبع با رتبه بالا دارد، ارزش بیشتری نسبت به یک صفحه با چند بک لینک از صفحات کم ارزش داشته باشد که در الگوریتم اولیه به این صورت نبود.
نحوهی عملکرد الگوریتم پیج رنک چگونه است؟
پیج رنک با در نظر گرفتن تعداد و کیفیت لینکهای یک صفحه کار میکند تا ارزش صفحه را به طور تقریبی تخمین بزند. پیش فرض این است که وبسایتهای مهمتر احتمالاً لینکهای بیشتری از وبسایتهای دیگر دریافت میکنند. الگوریتم PageRank در واقع یک توزیع احتمال را معرفی میکند. این توزیع احتمال محاسبه میکند که احتمال کلیک شدن یک لینک خاص توسط کاربر چقدر است.
عوامل و فاکتورها که در الگوریتم پیج رنک مهم است
در ادامه به برخی عواملی که در پیج رنک تاثیر دارند اشاره میکنیم:
انکرتکستها (Anchor Text)
مقاله اصلی گوگل با بیان این که "با متن لینکها در موتور جستجوی ما به شیوهای خاص برخورد میشود" به انکرتکستها اشاره میکند.

احتمال کلیک روی لینک
احتمال کلیک روی یک لینک، یک عامل موثر کلیدی پیج رنک است که توسط پتنت reasonable surfer گوگل به آن اشاره شد. الگوریتم PR اصلی وزن یکسانی را به لینکهای یک صفحه اختصاص میداد. درحالیکه پتنت Reasonable Surfer در سال 2004 نشان داد که احتمال کلیک روی همه لینکها به یک اندازه نیست؛ بنابراین، بسته به پتانسیل آنها برای کلیک شدن، ارزش متفاوتی به لینکهای مختلف میدهد.
لینکهای داخلی
لینک سازی داخلی یک تاکتیک قدرتمند سئو است. شما میتوانید با لینک سازی داخلی پایدار، به پیج رنک کمک کنید تا در سایت شما جریان یابد.
لینکهای NoFollow
لینکهای NoFollow از جریان PageRank جلوگیری میکردند تا اینکه اخیراً این موضوع اهمیت پیدا کرد. در گذشته، متخصصان سئو گاهی اوقات از ویژگی NoFollow برای دستکاری جریان پیج رنک استفاده میکردند. به این صورت که اگر یک صفحه دارای 5 لینک خارجی که 4 مورد از آنها nofollow باشند، پیج رنک به طور کامل از همان یک لینک فالو عبور میکند.
بااینحال، در سال 2009، Matt Cutts از گوگل تأیید کرد که این روش دیگر کار نمیکند و پیج رنک در بین لینکها حتی در صورت وجود ویژگی NoFollow توزیع میشود. هر چند پیج رنک بین تمام لینکها، چه فالو و چه نوفالو، تقسیم میشود اما پیج رنک رسیده به لینکهای فالو به صفحه مقصد هدایت میشود در حالی که پیج رنک رسیده به لینکهای نوفالو اصطلاحا هدر میرود و منتقل نمیشود.
اهمیت پیج رنک چقدر است؟
با اینکه رسما چند سالی از نمایش ندادن پیج رنک روی صفحات وبسایتها میگذرد، اما در واقع همچنان این معیار محاسبه شده و در نظر گرفته میشود. این امتیاز روی رتبهبندی نتایج گوگل موثر است و سالها قبل به دلیل اهمیت زیاد این معیار، خیلیها بهدنبال روشهای تقلبی بودند تا پیج رنک خود را افزایش دهند. برخی تصور میکنند در سالهای اخیر اهمیت این موضوع کمتر شده است، اما به نظر میرسد همچنان گوگل آن را محاسبه می کند و در نظر میگیرد.
چگونه پیج رنک سایت خود را افزایش دهیم؟

بیشتر بخوانید : کیورد گپ چیست؟
همانطور که اشاره کردیم در این الگوریتم، بکلینکهایی که به سمت صفحات سایت ما آمده مهم هستند. به همین دلیل خیلیها سراغ روشهایی چون راهاندازی PBN (شبکه خصوصی بلاگ)، خرید بک لینک و دیگر روشهای سئوی کلاه سیاه می روند.
اما بهترین راهکارها برای افزایش پیج رنک در زیر آمده است:
- محتوای ارزشمند و منحصربهفرد تولید کنید تا بتوانید از سراسر وب بکلینکهای ارزشمند بگیرید.
- تبادل لینک چند طرفه روش دیگری است که کمک میکند بتوانید از سایتهای با اعتبار بالاتر بک لینک بگیرید.
- رپورتاژ آگهی نیز در سایتهای پرمخاطب باعث میشود بتوانید بک لینکهای ارزشمند دریافت کنید.
- در شبکههای اجتماعی فعال باشید و کاری کنید کاربران محتوای شما را به اشتراک بگذارند تا از طریق لینک قرار گرفته در بایو یا استوری بتوانید ورودی بگیرید.
- به طور طبیعی در بین مطالب سایت خود لینکسازی داخلی انجام دهید.
تاثیر پیج رنک در سئو سایت
همانطور که اشاره کردیم پیج رنک یکی از فاکتورهای مهم در رتبهبندی نتایج گوگل است. پس اگر سایت شما امتیاز بهتری داشته باشد، شانس بیشتری برای نمایش در جایگاههای بالاتر دارد. اما از آنجایی که لینکهای نوفالو در محاسبه نمیشوند، بنابراین فقط بکلینکهای فالو که رباتهای گوگل آنها را دنبال میکنند باعث تعیین امتیاز شما خواهند شد.
جمعبندی
پیج رنک یکی از معیارهای مهم در رتبهبندی نتایج گوگل است. تا چندین سال قبل گوگل میزان اهمیت صفحات وب را به صورت امتیاز 0 تا 10 روی نوار ابزار Page Rank مشخص میکرد. اما از آنجایی که این فاکتور به سئوی خارجی مانند بکلینکها میپردازد، خیلیها سراغ روشهای غیرقانونی رفتند و به همین دلیل چندسالی است گوگل دیگر این امتیاز را نمایش نمیدهد. اما همچنان از این فاکتور برای رتبهبندی صفحات وب بهره میبرد. بهترین کار برای افزایش این امتیاز، تولید محتوای باارزش است تا بتوانید از سایتهای دیگر لینک دریافت کنید.
اگر به دنبال بررسی سایت خود هستید، به شما ابزار جت سئو را پیشنهاد میکنیم. این ابزار یک افزونه سئو کروم هم دارد که به کمک آن می توانید تحلیل هر صفحه از سایت خود یا دیگران را در کسری از ثانیه انجام دهید. اگر هم می خواهید رتبه سایت خود را در ایران ببینید کافی است به صفحه مربوطه در جت سئو مراجعه کنید.
عالیه
ممنون بابت توضیحات کامل و ارزشمندتون .
خوشحالیم که مطلب ما در مورد Page Rank گوگل برای شما مفید واقع شده و ممنون از همراهی شما